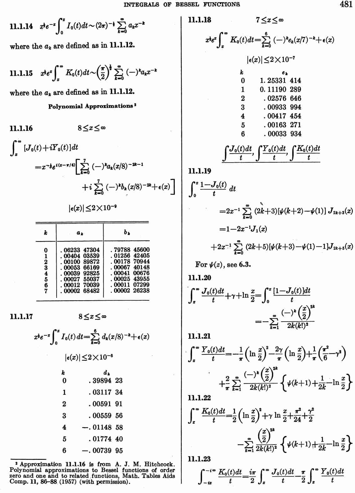
<< To page 480
Table of Contents
Subject Index
To page 482 >>