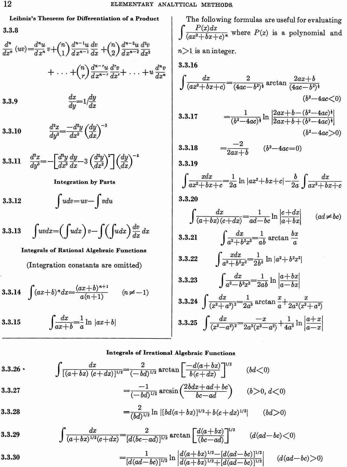
<< To page 11 Table of Contents Subject Index To page 13 >>

image of page 12